next up previous contents
Nächste Seite: Zweidimensionale Wirbelströmung Aufwärts: Anwendungsbeispiele Vorherige Seite: Anwendungsbeispiele   Inhalt

Eindimensionales Problem

Das prinzipielle Problem, das bei der Approximation des Konvektionsterms im Falle großer Peclet-Zahlen auftritt, kann bereits an einem sehr einfachen Testfall beobachtet werden. Auch für eine Gegenüberstellung der unterschiedlichen Approximierungsschemata ist es weitgehend ausreichend, die eindimensionale Konvektions-Diffusions-Differentialgleichung zu betrachten und die Resultate zu vergleichen.

Betrachtet werden soll eine Finite-Volumen-Approximation der Differentialgleichung

$\displaystyle -\varrho u\frac{d\phi}{dx}+\Gamma \frac{d^{2}\phi}{dx^{2}}=0$     (5.76)

mit den Randbedingungen
$\displaystyle \phi(x=0)=0 \qquad \phi(x=1)=1 .$     (5.77)

Abbildung 34: Nichtlimitierte Verfahren bei P=0.3 und P=30
\begin{figure}\begin{center}
\begin{picture}(120,120)
\put(-15,0){ \epsfxsize =140mm \epsffile{Abb/bild1.eps}}
\end{picture}\end{center}\end{figure}

Für die Kontrollvolumen wird ein nichtäquidistantes Gitter verwendet, das in positiver x-Richtung verdichtet ist. Im entscheidenen Bereich bei $ x \approx 0.9$ beträgt der Gitterabstand $ \Delta x=0.03$. Es werden jeweils die Ergebnisse bei zwei unterschiedlichen P-Zahlen betrachtet: $ P=\frac{\varrho \ u \ \Delta x}{\Gamma} \ $; $ P=0.3$ und $ P=30$.

Die Problematik der nichtlimitierten Differenzenschemata ist in Abbildung 34 zu erkennen. Die Abbildungen auf der linken Seite zeigen Lösungen bei $ P=0.3$, also bei einer kleinen Peclet-Zahl, in den Abbildungen rechts beträgt die Peclet-Zahl $ P=30$. Während sich bei der kleinen P-Zahl mit höherer Ordnung für die Zentraldifferenzenapproximation und QUICK immer bessere Ergebnisse zeigen, ist bei der hohen P-Zahl von 30 zu erkennen, daß die nichtlimitierten Verfahren hier zu starken Oszillationen in der Lösung neigen. Dies gilt für QUICK, CUI, Flux-Blending und insbesondere für das CDS-Verfahren.

Abbildung 35: Limitierte Schemata bei P=0.3 und P=30
\begin{figure}\begin{center}
\begin{picture}(120,55)
\put(-12,0){ \epsfxsize =140mm \epsffile{Abb/bild2.eps}}
\end{picture}\end{center}\end{figure}

Wie zu erwarten war, verhindern TVD-Verfahren Oszillationen, die bei nichtlimitierten Schemata zu beobachten sind. Es ergibt sich sowohl bei der großen als auch bei der kleinen Peclet-Zahl eine Lösung, die der exakten sehr nahe kommt, wie in Abbildung 35 zu erkennen ist.

Während bei $ P=0.3$ kaum ein Unterschied zwischen den einzelnen Verfahren zu beobachten ist, werden die Unterschiede bei $ P=30$ deutlich. Hier zeigt sich im oberen Bild, daß der Parameter $ \gamma$ im MUSCL-Schema offenbar kaum eine Rolle spielt - alle Kurven für unterschiedliche Varianten fallen zusammen.

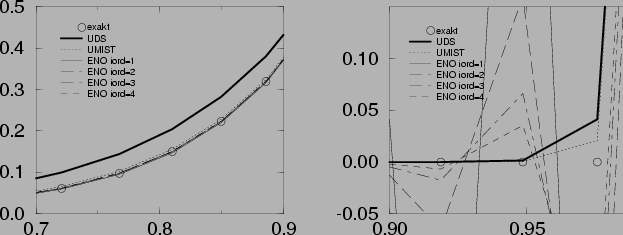
Abbildung 36: ENO-Verfahren unterschiedlicher Ordnung bei P=0.3 und P=30
\begin{figure}\begin{center}
\begin{picture}(120,55)
\put(-20,-5){ \epsfxsize =145mm \epsffile{Abb/eno.eps}}
\end{picture}\end{center}\end{figure}

In Abbildung 36 sind die Ergebnisse der eindimensionalen skalaren Transportgleichung mit Hilfe einer ENO-Lösung unterschiedlicher Ordnung dargestellt. Bei der geringen Peclet-Zahl zeigen sich die Vorteile der hohen Ordnung, ENO-Verfahren treffen die exakte Lösung sogar noch besser als beispielsweise das MUSCL-Verfahren. Bei der hohen Peclet-Zahl sind die Verhältnisse anders. Speziell dieser Fall ist für ein ENO-Verfahren problematisch, da wegen des Charakters der exakten Lösung stets ein Differenzenstern verwendet wird, der sich nach links ausrichtet. Dadurch ist dem Verfahren die Möglichikeit genommen, durch Variation der Stützpunkte Oszillationen zu vermeiden.


next up previous contents
Nächste Seite: Zweidimensionale Wirbelströmung Aufwärts: Anwendungsbeispiele Vorherige Seite: Anwendungsbeispiele   Inhalt
Ulf Bunge 2003-10-10