next up previous contents
Nächste Seite: Allgemeine Bilanzgleichung Aufwärts: Bilanzgleichungen Vorherige Seite: Bilanzgleichungen   Inhalt

Zeitliche Änderung materieller Integrale

Es soll untersucht werden, in welcher Weise sich eine beliebige Eigenschaft $ \phi $ (Impuls, Dichte, etc.) eines flüssigen ''Körpers'', also eines materiellen Volumens $ dV$, ändert. Das Problem liegt hierbei in der Tatsache, daß ein solches Volumen zwar immer von denselben Teilchen gebildet wird, seine Gestalt und räumliche Lage sich jedoch fortlaufend ändern.


\begin{picture}(150,25)
\put(-110,-80){ \epsfxsize =70mm \epsffile{Abb/bild0-1.eps}}
\end{picture}

$\displaystyle \qquad \qquad \qquad \qquad \qquad \qquad \qquad \qquad \qquad \qquad \qquad \rightarrow \qquad \frac{d}{dt} \int \limits_{V(t)} \phi dV = RHS \ ,$ (2.1)


$ RHS$ 1 symbolisiert hier eine allgemeine rechte Seite, die in der Regel aus sogenannten Quelltermen zur Erzeugung oder Vernichtung von $ \phi $ besteht. Da das Volumen, d.h. die Integrationsgrenzen, ebenfalls von der Zeit abhängt, muß man die Leibnitzsche Regel anwenden und notiert


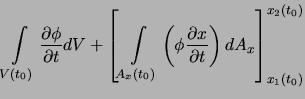
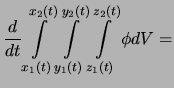
$\displaystyle \frac{d}{dt} \int \limits_{x_1(t)}^{x_2(t)}
\int \limits_{y_1(t)}^{y_2(t)}
\int \limits_{z_1(t)}^{z_2(t)} \phi dV
=$   $\displaystyle \int \limits_{V(t_0)} \frac{\partial \phi}{\partial t} dV
+ \left...
...( \phi
\frac{\partial x}{\partial t} \right) dA_x \right]_{x_1(t_0)}^{x_2(t_0)}$  
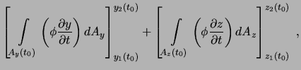
  $\displaystyle +$ $\displaystyle \left[ \int \limits_{A_y(t_0)} \left( \phi
\frac{\partial y}{\par...
...hi
\frac{\partial z}{\partial t} \right) dA_z \right]_{z_1(t_0)}^{z_2(t_0)}
\ ,$ (2.2)

und damit

$\displaystyle \frac{d}{dt} \int \limits_{V(t)} \phi dV = \int \limits_{V(t_0)} ...
...rtial t} dV + \oint\limits_{A(t_0)} \phi \underline{u} \cdot d\underline{A} \ ,$ (2.3)

wobei $ \underline{u}$ die Geschwindigkeit2 des Volumens bzw. der Teilchen, die dieses Volumen bilden, angibt und $ \underline{A}$ die Oberfläche des Volumens darstellt.


Es ergibt sich das Reynoldsche Transporttheorem

$\displaystyle \frac{d}{dt} \int \phi dV = \int \frac{\partial \phi}{\partial t} dV + \oint \phi \underline{u} \cdot d\underline{A} \ .$ (2.4)

Mit Hilfe des Gaußschen Satzes $ \oint d\underline{A} \otimes \phi = \int (\underline{\nabla} \otimes
\phi ) dV$ erhält man die konservative Form der Erhaltungsgleichung:

$\displaystyle \frac{d}{dt} \int \phi dV = \int \left[ \frac{\partial \phi}{\partial t} + \underline{\nabla} \cdot ( \phi \underline{u} ) \right] dV = RHS \ .$ (2.5)

Die Verwendung der substantiellen Ableitung 3führt auf eine kompakte Formulierung:


$\displaystyle \frac{d}{dt} \int \phi dV$ $\displaystyle =$ $\displaystyle \int \left[ \frac{\partial \phi}{\partial t}
+\underline{\nabla} \cdot ( \phi \underline{u} ) \right] dV$  
  $\displaystyle =$ $\displaystyle \int \left[
\frac{\partial \phi}{\partial t}
+ \underline{\nabla} \phi \cdot \underline{u}
+ \phi \underline{\nabla} \cdot \underline{u} \right] dV$  
  $\displaystyle =$ $\displaystyle \int \left[ \frac{D \phi}{Dt}
+ \phi \underline{\nabla} \cdot \underline{u}
\right] dV \ .$ (2.6)


next up previous contents
Nächste Seite: Allgemeine Bilanzgleichung Aufwärts: Bilanzgleichungen Vorherige Seite: Bilanzgleichungen   Inhalt
Ulf Bunge 2003-10-10